Аннотация
Обобщенная картина космохимической эволюции представлена последовательностью 13 основных реакций. Показана зависимость их направления от энергетических и концентрационных параметров в космических объектах. Ориентировочно определена вероятная распространенность основных видов химического вещества. Развита гипотеза связанных максимумов концентрации химических веществ. Предложена образная аналогия автономных потоков химических превращений.
Космохимическая эволюция представляется комплексом направленных процессов образования и превращения химического вещества в космосе. Химическое вещество отличается строением: центральное атомное ядро и орбитальные электроны связаны электростатическим (кулоновским) притяжением. Это вещество занимает промежуточное положение в иерархии сложности известных видов вещества: лептоны и кварки – элеменарные частицы – атомные ядра – химические элементы – тела и звезды – звездные ассоциации и скопления – галактики – скопления и сверхскопления галактик. В этом величественном здании выделяется промежуточный этаж – химическое вещество и рассматривается история его обитателей.
Космохимическая эволюция может быть схематично представлена последовательностью обратимых реакций основных разновидностей химического вещества: ионов, атомов, молекул. Атомы являются наименьшей электронейтральной частицей химического элемента. Они характеризуются зарядом атомного ядра и строением электронной оболочки (более ста порядковых номеров в периодической системе). Ионы можно назвать электрозаряженными атомами (с недостатком и реже избытком орбитальных электронов). Молекулы представляются соединениями атомов, связанных взаимодействием валентных электронов. Собственно химические реакции характеризуются изменением электронной плотности, числа орбитальных электронов, валентных связей при стабильности атомного ядра. В ступенчатом синтезе и диссоциации химических элементов значительна роль ядерных реакций [1].
Основными движущими силами химических реакций являются концентрационный и энергетический факторы. Концентрационный фактор определяется соотношением (или произведением) концентраций исходных и конечных реагентов. Энергетический фактор определяется величиной энергии активации и соотношением прочности (энергии) химической связи исходных и конечных реагентов. В образовании и превращениях химического вещества участвуют все виды фундаментальных взаимодействий, а доминирует взаимодействие положительного заряда атомного ядра и отрицательных зарядов орбитальных электронов.
Космохимическая эволюция представляется автономным потоком в грандиозном течении астрофизической эволюции вещества Вселенной. Начало и последовательные эры эволюции вещества описаны в фундаментальных работах [2, 3]. Большой Взрыв, уменьшение плотности массы-энергии (и средней температуры), образование элементарных частиц (и излучения) предшествовали и обусловили начало космохимической эволюции.
Превращение протовещества (возможно, преонов) максимальной плотности
в протоны р, нейтроны n, электроны е, ядра дейтерия и гелия Не2+ образует первичную плазму.
Снижение температуры плазмы до 3.103К (~105 лет после Большого Взрыва) инициирует рекомбинацию. Ядра водорода Н+ (протоны р) и гелия превращаются в нейтральные атомы гелия Не0 и водорода Н0, которые соединяются в молекулы Н2.
При первичном (космическом) синтезе водород и гелий образуются в соотношении масс 3:1. В незначительных количествах синтезируется литий, а дейтерий участвует в нуклеосинтезе гелия. Гелий может рекомбинировать раньше водорода при соизмеримой концентрации ввиду повышенной энергии притяжения его ядра и орбитальных электронов [4].
Далее первичные облака нейтрального водорода и гелия подвергаются гравитационно-магнитному сжатию. Оно связано с повышением температуры. Соответственно происходят сначала реакции ионизации (например, в глобулах Бока) и позже термоядерный синтез гелия (при рождении первого поколения звезд):
В массивных звездах увеличение температуры до 108К и выше обуславливает нуклеосинтез элементов тяжелее гелия с положительным зарядом ядра
и более (от углерода С до группы железа Fe). Примером может быть ступенчатый нуклеосинтез легких элементов: бериллия, углерода, кислорода, неона, натрия, магния, кремния, серы и т.д.
Получаемые атомные ядра химических элементов можно обобщенно обозначить как полностью ионизированные атомы
с суммарным положительным зарядом, численно равным заряду ядра z [5]. При массообмене и охлаждении в средних и наружных слоях массивных звезд протекают реакции частичной нейтрализации с образованием ионов
. Степень ионизации (z-e), равная разности положительного заряда ядра z+ и количества орбитальных электронов еуменьшается при последовательном заполнении электронных уровней. Соответственно при z=e синтезируются электронейтральные атомы
.
Последовательность и степень заполнения электронных оболочек связаны с величиной притяжения ядро-электрон и соответствующим потенциалом ионизации [1, 4]. Эта зависимость коррелируется с энергией ионизации валентных электронов в последовательности благородные газы – неметаллы – металлы.
Последующий массообмен и охлаждение в наружном слое и атмосфере звезд инициирует реакции образования простых молекул
из атомов и ионов. Таким образом, вновь образованные элементы проходят химические превращения в общей последовательности: атомные ядра – ионы – атомы – простые молекулы. В последовательных реакциях продукт одной является исходным веществом для другой. В этих реакциях изменение концентрации (и скорости образования) реагентов во времени проходит через максимум [1]. В звезде образуется несколько максимумов концентрации реагентов, связанных по времени, величине и расположении.
В зависимости от физических параметров на поверхности звезд главной последовательности наблюдается широкий спектр ионов, атомов и простых молекул [4]. Ниже представлены направления характерных реакций на поверхности звезд главной последовательности.
При самых высоких температурах
нейтрализуется водород и заполняются электронами нижние энергетические уровни легких неметаллов и гелия (класс звезд О, В). При достаточно высоких температурах (класс А, F) также нейтрализуется водород и гелий и образуются ионизированные металлы. Опережающая атомизация ионов водорода и гелия связана с их высокой концентрацией в атмосфере всех звезд (соответственно ~90% и ~9%). Максимально интенсивны реакции водорода в атмосфере звезд класса А-F при температуре около 104К. При более высокой (>1,5.104К) температуре они смещены в сторону ионизированного водорода, а при более низкой (<3.103К) – в сторону молекулярного водорода. В средних слоях звезд температура реакций нейтрализации ионов повышается под влиянием увеличенной плотности и электронного давления. Реакции при средней температуре (класс F-G) расширяют спектр ионизированных и нейтрализованных металлов. При сравнительно низких температурах (2,5 - 4)103К образуются атомы металлов и неметаллов, молекулы неметаллов, окислы металлов и радикалы (класс К-М) .
Направление и состав продуктов химических реакций на поверхности звезд предопределяются температурой, плотностью и произведением концентраций исходных реагентов. Эти реагенты (системы) обычно переходят в возбужденное состояние с более высокой энергией и в термоядерных, и в химических реакциях. Величина энергии активации зависит от энергии связи элементов системы. Соответственно энергия возбужденного состояния частиц-систем измеряется: для ядер – в мегаэлектронвольтах, для атомов – в электронвольтах, для молекул – в электронвольтах и микроэлектронвольтах [4]. Относительно низкая энергия связи в атомно-молекулярном веществе ограничивает энергетический диапазон его существования, но увеличивает реакционноспособность, вероятность последующих превращений и многообразие разновидностей.
Направление обозначенных выше последовательных реакций зависит также от стадии эволюции звезды. При начальном разогреве звезды очередного поколения последовательные реакции направлены справа налево, а в фазе ее охлаждения и затухания – наоборот – слева направо. Синхронно смещаются и равновесные концентрации реагентов. Обратимые процессы синтеза и диссоциации химических веществ находятся в сложной зависимости от исходного состава, массы, поколения, температуры, плотности и времени эволюции целостной звезды.
Последующие космохимические реакции инициированы взрывами сверхновых и новых звезд, дополненными истечением вещества в околозвездное пространство. Вещество звездных оболочек рассеивается, а звездные ядра продолжают сжиматься [6].
В зависимости от массы звездных ядер, а также невзорвавшихся звезд гравитационное сжатие приводит к образованию белых (и черных) карликов, нейтронных звезд и черных дыр [7]. Соответственно все виды атомно-молекулярного вещества превращаются в разновидности сверхплотного вещества: вырожденный газ, нейтроны или состояние непрерывного коллапса. В вырожденном газе атомные ядра при плотности ~107г/см3 оторваны от электронов, движущихся с релятивистской скоростью
. Однако ионы частично сохраняются даже при высокой температуре 106К [8].
При превращении белого в черный карлик наряду с нейтронной конденсацией происходит образование металлических кристаллов, главным образом, из водорода и элементов «железного пика». Для сверхпроводящих кристаллов и сверхтекучих жидкостей характерно особое состояние электронного газа Ферми, не взаимодействующего с ионами. В более массивных нейтронных звездах электронный газ реагирует с ионизированными атомами, промежуточно образуя атомные ядра, обогащенные нейтронами, и далее вдавливается в протоны, превращаясь в нейтроны
при плотности 1014г/см3. Наиболее массивные звездные ядра и звезды испытывают гравитационный коллапс, превращаясь в вещество с плотностью более 1016г/см3.
Согласно принятой версии астрофизической эволюции галактические звезды из сверхплотного вещества соединяются в одну центральную или множество периферийных черных дыр. Процесс длится тысячи миллиардов лет под определяющим воздействием гравитационного притяжения [9] и сопровождается полным разрушением химического вещества.
Иначе направлена химическая эволюция части вещества, рассеянного в околозвездном пространстве при взрывах сверхновых и новых звезд. Диспергируемое вещество содержит ядра легких элементов, которые реагируют с нейтронами космических лучей. Они образуют ядра тяжелых элементов до урана включительно [1]. Аналогичные реакции термоядерного синтеза тяжелых элементов могут протекать в ядрах массивных звезд, плазма которых обогащена нейтронами. Группа легких элементов с крайне нестойкими ядрами образуется при распаде ядер тяжелых элементов в космических лучах.
В межзвездном пространстве вещество перемешивается и охлаждается, образуя газовые облака и туманности. Там продолжаются реакции нейтрализации ионов, синтеза атомов
и простых молекул
в газовой фазе.
В газовых облаках и туманностях распространены молекулы водорода, вода, оксиды, амины, цианиды, карбиды, углеводороды, спирты, альдегиды и соединения металлов.
Температурно-концентрационные параметры способствуют возникновению разнообразных валентных связей между атомами: ковалентных, ионных, координационных, многоцентровых, сопряженных. Преобладают наиболее простые 2-3-атомные молекулы. Редко наблюдаются молекулы, содержащие до 24-28 атомов. Величина простых молекул обратно пропорциональна их количеству. Это связано с меньшей вероятностью образования и относительной нестабильностью многоатомных молекул, особенно в газовой фазе [10]. Масса вещества в межзвездных облаках и туманностях оценивается от соизмеримой со звездным веществом (рассеянные скопления) до почти полного отсутствия (шаровые скопления). Относительное число атомов химических элементов (на примере Солнечной системы) характеризует их распространенность и кинетику соответствующих реакций [4].
Таблица 1
Зависимость распространенности элемента от ядерного заряда

Общая закономерность уменьшения распространенности элементов при увеличении заряда ядра связана с понижением его прочности и стабильности. Отклонения от этой зависимости определяются индивидуальными особенностями ядер: четностью, плотностью упаковки, протон-нейтронным соотношением, радиоактивностью.
Многообразие управляющих параметров в процессах нуклеосинтеза приводит к выборочному повышению концентрации отдельных элементов в звездах. Это относится к углероду, технецию, барию, железу, марганцу, титану, хлору, фосфору, скандию. Особенности эволюции звездных скоплений влияют на нуклеосинтез элементов. В старых звездах шаровых скоплений (крайнее население II типа) на порядок меньше элементов тяжелее гелия, чем в молодых звездах рассеянных скоплений (крайнее население I типа).
Последующие реакции связаны с циклами гравитационного сжатия межзвездного вещества, образованием нового поколения звезд и конденсированных тел (планетоземалей, планет, спутников, астероидов, метеоров, комет), взрывами-вспышками сверхновых и новых звезд, рассеиванием химического вещества и сжатием звездных ядер в сверхплотные белые карлики, нейтронные звезды, черные дыры. По-видимому, рассеянные скопления населяет преимущественно второе-пятое поколение звезд главной последовательности. Вероятно, Солнечная система сформирована в третьем цикле превращений звезды–межзвездная среда. В ней смешаны химическое вещество первичного происхождения с превращенным в двух предыдущих циклах [4]. Общая длительность затухающих циклов химической эволюции до полного выгорания звезд в разбегающихся галактиках оценивается десятками тысяч миллиардов лет [3, 6].
В этих циклах скромное место занимает образование атомно-молекулярных конденсированных тел с промежуточной плотностью (0,1-102г/см3). Диапазон плотности коррелируется с повышенной стабильностью и реакционноспособностью атомно-молекулярного вещества.
В конденсированных телах межмолекулярное притяжение определяется ориентационным, индукционным и дисперсионным взаимодействием дипольных моментов молекул (силами Ван-дер-Ваальса) [1]. Соответственно преобладают реакции в растворах и расплавах, твердофазные и гетерофазные реакции. Охлаждение превращает беспорядочные ассоциации молекул жидкости в упорядоченные структуры твердого тела. Соответственно образуются молекулярные, ковалентные (атомные), ионные и металлические кристаллы и агрегаты.
В конденсированном состоянии наряду с разнообразными неорганическими молекулами
(гидриды, оксиды, карбиды, гидроксиды, кислоты, соли, комплексы) наиболее многочисленны органические соединения
[1]. Они включают гомологические ряды алканов, алкенов, алкинов, гомо- и гетероциклов, генетические ряды их производных с галоген-, кислород-, азот-, фосфор- и металлосодержащими функциональными группами (радикалами).
Органические молекулы отличает повышенная реакционноспособность, многообразие функциональных групп, длина и конфигурация углеродной цепи, низкая термостабильность (< 4.102К).
Среди реакций органических соединений особое значение имеет полимеризация и ее виды: радикальная, ионная и каталитическая; жидко- и твердофазная; гомо-, со- и стереополимеризация. Продукты этих реакций – макромолекулы ММ – содержат до 103-109 атомов и приобретают новые свойства, в т.ч. способность принимать, сохранять и передавать информацию. Аналогичные свойства характерны для искусственных кристаллов на основе кремния. Органические и неорганические макромолекулы и кристаллы являются микротелами, которые образуют надмолекулярные структуры. Разновидность природных высокомолекулярных соединений биомакромолекулы (биополимеры) ММВ синтезируются в своеобразных надмолекулярных телах-клетках и организмах. Биополимеры – белки, нуклеотиды, полисахариды, липиды и их сополимеры образуют клеточную структуру и обеспечивают жизнедеятельность организмов. Для этого в организме, например, человека происходит порядка 105 реакций в минуту. В синтезе биополимеров последовательно участвуют биогенные элементы, простые молекулы, мономеры. Например, биогенные элементы углерод, кислород, водород, азот и фосфор образуют простые молекулы метана, окиси углерода, воды, аммиака, формальдегида, оксида фосфора. В среде этих простых молекул синтезируются мономеры нуклеозиды аденозин, гуанозин, уридин и цитидин. Мономеры полимеризуются с образованием биомакромолекулы полинуклеотида - информационной рибонуклеиноваой кислоты, которая в комплексе с белком образует биовещество простейшего организма – вируса.
Отмечается значение автокаталитических реакций и конкурентных направлений биополимеризации [11]. Видимо, автокатализ биомакромолекул включает обратную связь свойство-состав, подобную естественному отбору организмов.
Важна роль реакций информационных биополимеров. Реакции дизоксирибонуклеиновых и рибонуклеиновых кислот определяют воспроизводство и модификацию организмов. Реакции биополимеров в нейронных структурах определяют поведение животных и мышление человека.
В биохимических процессах синтезируются и функционируют клетки, ткани, органы, организмы, биоценозы, жизнь и сознание. Они осуществляются в крайне узком диапазоне физических параметров.
В этой связи возможно приблизительное определение распространенности биомакромолекул и соответственно жизнеспособных организмов. Предположим, что относительное количество биомакромолекул пропорционально основным параметрам их образования и стабильного существования. Выберем эти параметры: отношение количества углерода к количеству остальных химических элементов (в пересчете на атомы); отношение диапазона температур существования биомакромолекул к общему диапазону температуры химического вещества; отношение диапазона плотности среды биомакромолекул к возможному диапазону плотности химического вещества.
Принимая в первом приближении равномерную заселенность ионо-атомно- молекулярным веществом всего диапазона температуры и плотности при усредненной концентрации, можно определить относительную распространенность биомакромолекул (в пересчете на атомарный состав). В табл. 2 сведены исходные данные для расчета [1, 3, 5] с дополнениями автора.
Таблица 2
Исходные данные для расчета

Рассчитываем относительную распространенность биомакромолекул:
![]()
В расчете не учтены концентрации ряда биогенных элементов, локальные флуктуации управляющих параметров, кинетика ступенчатых реакций синтеза и диссоциации биомакромолекул. Другой вариант расчета основан на использовании формулы Дрейка и экстраполяции химического состава Солнечной системы [12]. Полученная величина распространенности биомакромолекул в химическом веществе близка к 10-18 (% массы). Оба расчета упрощенно определяют только порядок средней величины распространенности биомакромолекул. Маловероятность на грани случайности характеризует столь важные для нашего существования реакции образования биомакромолекул.
Расчеты обосновывают следующую образную аналогию. Представим космохимическую эволюцию в виде автономных потоков, ширина которых пропорциональна распространенности основных видов химического вещества. Тогда водородогелиевый поток будет похож на текущий океан шириной тысяча километров. Поток элементов тяжелее гелия и их простых молекул подобен большой реке шириной около двадцати километров. Течение органических молекул похоже на канал (его ширина – десятки метров). Поток органических макромолекул имеет ширину струи, измеряемую сантиметрами. Наконец, ширина микрокапельного течения биомакромолекул составит доли микрона. Такое соотношение текущего океана, большой реки, канала, струи и микрокапли иллюстрирует масштабы основных направлений космохимической эволюции. При этом каждый меньший поток вытекает из большего, течет параллельно с ним и впадает обратно в больший поток. Так представляются синтез, существование и диссоциация химических веществ в иерархии их сложности.
Наряду с поперечным сечением космохимической эволюции возможен и ее продольный срез вдоль оси времени. Для этого применима гипотеза связанных максимумов, предложенная автором [13]: космическая эволюция основных видов химического вещества имеет количественные максимумы, связанные последовательными реакциями в относительно однородных звездных системах.
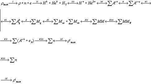
Последовательность собственно химических и термоядерных реакций I-XIII представлена в обобщенной схеме.

Картина космохимической эволюции выглядит следующим образом. В первичном импульсе рассеивания–охлаждения сверхплотного протовещества образуются простейшие виды химического вещества (реакции I-II). В последующих затухающих циклах сжатия – нагревания и рассеивания–охлаждения звезд синтезируются, накапливаются и диссоциируют простейшие, немногие простые и редкие сложные виды химического вещества (обратимые реакции III-VI и X-XIII). При необратимом сжатии и соединении звезд химическое вещество превращается в сверхплотное (реакции VII-IX). Замыкается космический цикл: отсутствие – появление – накопление – усложнение – разрушение – почти отсутствие химического вещества. В этом космоцикле вероятно возникновение связанных максимумов концентрации основных реагентов в последовательных обратимых реакциях III-VI и X-XIII. Предыдущий максимум инициирует возникновение последующего согласно закону действующих масс. Неравномерно затухающие циклы обратимых реакций могут образовать серию промежуточных максимумов на нисходящих ветвях графической зависимости количества химических веществ от времени эволюции (см.Рис.1).
Рис.1. Вид зависимости количества реагентов (К% массы) от времени эволюции (млрд. лет):
I- атомы водорода и гелия (
); II – молекулы водорода (
); III - атомы и простые молекулы элементов тяжелее гелия (
); IV – органические молекулы и макромолекулы (
);
V – биомакромолекулы (
)
Концентрация стабильных и реакционноспособных видов химических веществ изменяется от полного отсутствия через максимум к минимуму. Эти изменения наиболее интенсивны в космических объектах промежуточной плотности при пониженной температуре.
Можно отметить вероятные особенности связанных максимумов:
- Максимумы характеризуются химическим составом и концентрацией, временем возникновения и существования, расположением в пространстве;
- Они возникают в планетных системах, звездах, относительно однородных звездных скоплениях, галактиках;
- Восходящая к максимуму ветвь графической зависимости концентрации от времени круче его нисходящей ветви (см. Рис.1);
- Вид этой зависимости с максимумом и волнообразной нисходящей ветвью характерен для большинства легких элементов и их соединений, и мало вероятен для инертных газов, редких и нестойких элементов;
- Графическая конфигурация максимума зависит от энергии химических связей элементов и от изменчивости управляющих параметров (в т.ч. плотности энергии и массы);
- Определение параметров максимумов концентрации атомов и молекул может обосновать расчет параметров максимума биомакромолекул и вероятности жизни в звездной системе;
- Максимум распространения биомакромолекул (и органической жизни) можно прогнозировать в рассеянных звездных скоплениях, включающих много молодых и массивных звезд, обогащенных углеродом, и много одинарных звезд типа желтых карликов с планетно-спутниковыми системами на круговых орбитах;
- Вероятна физико-химическая последовательность связанных максимумов звездообразования – звездного нуклеосинтеза элементов тяжелее гелия – простых молекул биогенных элементов – биогенных мономеров - биомакромолекул;
- Конкретные параметры максимумов могут быть определены при сравнительном изучении химического состава рассеянных скоплений, близких по астрофизическим параметрам, но далеких по времени эволюции.
Обращаясь к образной аналогии автономных потоков, можно представить максимумы как волнообразные подъемы уровней, передаваемые от большего к меньшему потоку.
Кажущаяся однородность химического состава наблюдается в достижимой части Вселенной. Пределы изменения химического состава звезд нашей Галактики значительно больше, чем различия между ближними галактиками [4]. Это наблюдение косвенно подтверждает вероятность значительной распространенности связанных максимумов химического вещества.
Максимальное накопление химических элементов зависит от числа поколений, массивности и эволюции большинства звезд и от кинетики сверхплотного вещества. Содержание элементов тяжелее гелия увеличивается в ряду звезд I, II-III и, вероятно, IV-V поколения (соответственно 0,3– 2 – 4%) [8]. Такая зависимость свидетельствует о накоплении этих элементов звездным населением в нашей Галактике (восходящая к максимуму ветвь графической зависимости на рис.). Одновременно наблюдается уменьшение концентрации элементов тяжелее гелия в звездах из сверхплотного вещества: белых карликах (менее 1%), суб-карликах, пульсарах (менее 0,1%). По-видимому, средняя скорость накопления элементов тяжелее гелия находится в пределах 0,3-1% за поколение. При сохранении такой скорости прогнозируется величина 5-10% локальных максимумов элементов тяжелее гелия в VI-X поколении массивных звезд Галактики. Возрастет не только количество биогенных элементов, но и фрагментов вещества с оптимальными параметрами существования биомакромолекул, например, на поверхности планет земного типа. Соответственно, вероятность синтеза биомакромолекул и органической жизни может повыситься в несколько раз (сравнительно с Солнечной системой). Поэтому жизнь на Земле представляется опережающей будущие более вероятные версии жизни в насыщенной биогенными элементами среде. Она похожа на раннюю пташку в молодом лесу, еще бедном кормом и живностью.
Возможен ориентировочный расчет вероятности жизни человека. Вероятная распространенность биомакромолекул близка к 10-15 – 10-18. Вероятность возникновения человечества из биомакромолекул близка к 10-6 (один из двух миллионов видов животно-растительного мира). Вероятность жизни одного человека близка к 10-7 (при современном населении Земли). Произведение вероятности находится в пределах 10-28 -10-31. Примерно так выглядит вероятность возникновения жизни каждого из нас. Мы подобны микрокаплям в океане космохимических событий.
Текущие океаны и реки космохимической эволюции выглядят враждебными жизни источниками ее микрокапель. Появление микрокапель именно нашей жизни представляется редкостным подарком океана природы, а мы – персональными счастливцами эволюции. Осознание своей жизни как невероятной удачи создает постоянно радостное мироощущение и самочувствие. Коррелируется маловероятность индивидуальной жизни – осознание личной удачи – радостное восприятие своей жизни. Эту связь можно стабилизировать известными психотехниками, например, аутотренингом.
Литература
1. Химия. Большой энциклопедический словарь. М., 1998.
2. Я.Зельдович, Я.Эйнесто, И.Шкловский. Прошлое и будущее Вселенной. М., 1986.
3. С.Вайнберг. Первые три минуты. М., 1981.
4. А.Аллер. Атомы, звезды и туманности. М., 1976.
5. Д.Уилкинсон, Р.Райерс, М.Гелл-Ман. Фундаментальная структура материи. М., 1984.
6. Р.Ровинский. Развивающаяся Вселенная. Иерусалим, 2001.
7. М.Рис, Р.Руффини, Д.Уилер. Черные дыры, гравитационные волны и космология. М., 1977.
8. С.Каплан. Физика звезд. М., 1961.
9. С.Хокинг. Черные дыры и молодые Вселенные. С.-Петербург, 2001.
10. Ч.Коулсон. Валентность. М., 1985.
11. В.Пармон. Новое в теории появления жизни. Химия и жизнь, №5, 2005.
12. R.Arav. Chemical evolution of the Universe. Scientists of the South Association. Beer-Sheva, 2002.
13. Р.Арав. Связанные максимумы космохимической эволюции. Сб. Творческие поиски ученых Израиля сегодня.
Ашкелон, 2005.
Статья поступила в редакцию







